收藏本站 劰载中...网站公告 | 吾爱海洋论坛交流QQ群:835383472

海洋论坛▏CTD海上剖面测量性能综合评定方法研究

[复制链接]
dcf90fb8d3d835932b16b3d609cf7a78.png
点击上方“溪流之海洋人生”即可订阅哦


a3c4c3b623aea03cd99114c2d8435611.png


海洋覆盖了地球表面约71%的面积,蕴含着丰富的资源,是地球上决定气候发展的主要因素之一,人类的命运同海洋的利用和开发紧密相连。海水温度是反映海水冷热状况的物理量,海水盐度是海水中含盐量(海水浓度)的一个标度,都是反映海洋水文环境的主要参数。研究海水温度、盐度随深度的分布及变化规律,不仅是海洋学的重要内容,而且对海洋资源开发、舰船潜艇航行等领域的意义重大。温盐深剖面仪是测量海洋物理特性的重要工具,它为海洋学家提供了不同深度下精确的海水温度和盐度等参数,从而能够更加准确地揭示海洋的基本物理特性。

随着科学技术的不断发展,CTD测量技术也取得了长足的进步,美国、英国、意大利、日本等国家走在CTD测量技术的前列,其中美国的SeaBird(海鸟)产品应用最为广泛。近年来,我国的CTD测量技术发展迅速,相继研制成功多种CTD产品,其中,国家海洋技术中心的OST系列CTD已开始推广应用。目前,国内海洋调查测量常用的CTD产品仍然以美国海鸟公司的SBE911、SBE25Plus、SBE37等产品为主。

海上试验是海洋仪器设备研发向海洋科技成果转化的关键环节,是海洋仪器研发是否达到技术指标和研究目标的重要检验手段,仪器测量性能比对是海上试验的主要内容。21世纪以来,国内相关机构相继开展了多次CTD海上试验。程绍华等结合2008年规范化海上试验的经验,总结了CTD海上现场比对的技巧。雷发美等于2013年8月使用福建海洋研究所的延平2号科考船在我国南海东北部海域开展了两型国产CTD的海上比测试验,验证了国产CTD的测量精度。夏岚等基于锚泊式平台开展了被测抗污染CTD与海鸟SEB37CTD的海上比测试验,验证了基于锚泊式平台开展CTD海上试验的可行性。靳萍开展了基于水下平台CTD性能试验评价方法研究,从静态特性和海上应用特性两个方面,建立相应的性能评价方法。前人在CTD海上比测试验中,已对数据处理进行了大量研究,大都采用均方根误差进行分析比较。单纯通过判断参试CTD与参考值的均方根差是否满足产品标称指标来评定的准则,不能很好地适用于CTD海上剖面测量性能评定,更不能满足海洋环境测量保障的需求。本文在借鉴国内同行经验基础上,开展锚泊式平台的CTD海上比对试验,试验方法中设计了同架比对CTD数量变化,数据处理方法中引入了平均差和相关系数,运用层次分析法建立了CTD海上剖面测量性能评价方法,为准确量化国产CTD的测量性能提供依据,促进国产CTD产品测量性能的进一步提升。

比对仪器与试验平台

⒈比对仪器

OST19CTD是国家海洋技术中心研制的一款可自容或直读的剖面测量仪,可用于海洋调查的断面测量;SBE25PlusCTD是美国SeaBird公司研制的一款可自容或直读的剖面测量仪,两型CTD主要技术指标见表1。OST19CTD温度、电导率标称测量范围和测量精度与SBE25PlusCTD相同或接近,而压力标称测量精度偏大,试验选择OST19CTD作为被测仪器,选择SBE25PlusCTD作为参考标准仪器。

海试前,四台CTD完成了温度、电导率和压力校准测试,测试结果均满足标称精度要求。两台SBE25PlusCTD编号为1#、2#,两台OST19CTD编号为3#、4#。

表1 参试仪器主要技术指标

4197272623506371a668cd8595e12de4.png

⒉试验平台

试验所采用的锚泊式平台是国家海洋综合试验场(威海)的国海试1号平台,平台布放位置最大水深约69m,是我国近岸大陆架中不多的深水水域。国海试1号平台为钢质漂浮式结构体,重量约200t、总排水量为432t,采用双浮体船型,长30m,宽21m,型深4.5m,设计吃水2.2m。平台无自航能力,采用双锚泊系统定位,是一个固定式的海上综合试验系统,具有很好的稳定性和抗风浪能力。平台海上运行见图1。

2da0d6a22f7728346ccc2f80d5cf489c.png

 图1 锚泊式平台海上运行

海上比对试验

⒈比对试验设计

在锚泊式平台上,将参与海上比对试验的CTD同架固定,使用绞车控制同架的CTD下放和上升,获取CTD同一点位不同深度剖面测量数据,并进行比对分析。固定安装CTD时,用锁扣、绳索和铁链紧固两台CTD,使之同为一体;CTD测量前,对CTD进行时间校准和参数设置(自容工作模式);CTD入水后,在水深3m处停层感温3min,然后将CTD提升至水面附近,再匀速下放至指定深度停层测量10min,停层测量结束后,回收CTD,导出数据,检查数据状态,若无异常准备下一次测量;CTD下放测量时,观察海域海况,若海况大于三级暂停试验。

试验分两步进行,第一步开展两台CTD同架比对,将1#CTD和3#CTD同架捆绑,框架顶端与平台绳索连接,如图2所示,使用绞车将整个框架吊入水中进行测量,获取四次有效剖面和停层测量数据;第二步开展四台CTD同架比对,将1#CTD、2#CTD、3#CTD、4#CTD同架捆绑,如图3所示,使用绞车将整个框架吊入水中进行测量,获取四次有效剖面和停层测量数据。

9171eabedaa0d07fcfdf208574ce85b6.png

图2 两台CTD同架测量

4bead944563b5fb0c5890e9f8a2e188a.png

图3 四台CTD同架测量

⒉数据处理方法

与波浪、海流等海洋环境测量设备相比,CTD测量精度高,测量数据处理方法对试验结果影响较大。为更好地验证OST19CTD剖面测量性能,本文通过计算剖面和停层测量数据均方根差、平均差、相关系数来评价CTD海上剖面测量的精准度和灵敏度。

⑴比对数据获取

分别使用SBEDataProcessing和CTD数据处理与分析软件处理SBE25PlusCTD和OST19CTD原始数据,处理步骤大致相同,包括滤波、位置订正、热质订正、衍生量计算和平均等。软件处理生成压力平均和时间平均的数据文件,其中压力平均数据文件是平均到每分巴的测量数据、时间平均数据文件是平均到整秒的测量数据。

⑵约定真值

在本次比对试验中,SBE25PlusCTD作为标准参考仪器,测量性能稳定、标称测量精度优于OST19CTD,约定1#CTD测量值为真值,2#CTD测量值作为备份。

⑶数据对齐

因CTD传感器位置和支架设计原因,比对CTD的传感器很难完全保证在同一垂直高度,而且考虑到仪器下放和回收时受海流、海浪等环境条件影响造成绳索倾斜,造成比对CTD的压力数据处于未对齐状态。为保证数据一致,需要把时间平均文件中比对CTD的压力变化趋势一致的数据点对齐,本文选取CTD结束停层测量上升的时间点为节点把测量数据进行对齐。

⑷统计

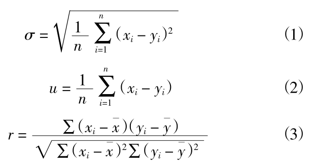
数据对齐后,去除感温段和上行段的数据,保留压力平均数据文件中下降剖面深度一致的数据,用于下放过程温度、电导率测量数据比对;保留时间平均文件中停层数据,用于停层过程深度、温度、电导率测量数据比对。统计计算比对数据中剖面温度、剖面电导率、停层深度、停层温度、停层电导率的均方根差、平均差和相关系数,计算公式分别如下。

e59c242d44e54d7be9603c907ce31001.png

式中,σ为均方根差;u为平均差;r为相关系数;n为样本数;xi为被测设备测量结果;yixi对应的约定真值;x为测量样本的平均值;y为约定真值样本的平均值。

试验结果

⒈数据获取结果

两台CTD同架比对和四台CTD同架比对试验中,每个CTD均有4个剖面、停层的测量数据。两台CTD同架比对试验获取的剖面测量数据比对曲线见图4、图5。图4为温度剖面测量结果比对,3#CTD和1#CTD相比,曲线几乎完全吻合。图5为剖面电导率测量结果比对曲线,3#CTD和1#CTD相比,除在第四次测量中1#CTD有个突变外,曲线基本吻合。

219bbd2f2a37d8da42a43776de900778.png
c7ebb059b6a4c01deee3574f1af70eb7.png

图4 3#CTD和1#CTD剖面温度比对曲线

513819d3644a100320e6324d4eb0e170.png
f729c15da8ebde1caaafde7dbcb65b7e.png

图5 3#CTD和1#CTD剖面电导率比对曲线

两台CTD同架比对试验的停层测量数据曲线见图6至图8。图6为停层深度测量结果比对曲线,3#CTD和1#CTD相比,曲线趋势一致,但测量数值之间有约0.2m的偏差,停层测量时仪器深度变化范围小于0.2m。图7、图8分别为停层温度、电导率测量结果比对曲线,3#CTD和1#CTD相比,曲线基本吻合。

4c0d1679e95c7806c64dd2b2950f736b.png
f3187b6b8f328a0c79e5b1ffbf2cbab5.png

图6 3#CTD和1#CTD停层深度比对曲线

044661ea4269d727f2a2e702318ebffd.png
5d1ecf2e5aa4f145d4dac7e7f88fc825.png

图7 3#CTD和1#CTD停层温度比对曲线

f5efbbb0be9aad1c770898fbf5ccae23.png
9a77e2f2dd98bbc5252e34fb4e5ad068.png

图8 3#和1#CTD停层电导率比对曲线

四台CTD同架比对与两台CTD同架比对的剖面和停层测量数据对比曲线图比较,情况大致相同,限于篇幅,不在本文中给出。

⒉误差计算结果

⑴两台CTD同架比对误差结果

两台CTD同架比对试验误差计算结果见表2,剖面温度、电导率均方根差结果分别超出仪器最大允许误差0.0004℃、0.0006mS/cm,停层温度、电导率均方根差结果分别超出仪器最大允许误差0.0045℃、0.0023mS/cm,停层深度均方根差结果在仪器最大允许误差范围内;剖面温度、电导率平均差结果分别超出仪器最大允许误差-0.0001℃、-0.0001mS/cm,停层电导率平均差结果超出仪器最大允许误差-0.0001mS/cm,停层深度、温度平均差结果在最大允许误差范围内;剖面温度、电导率测量数据比对的相关系数较停层测量大。

 表2 两台CTD同架比对3#CTD的误差计算结果

d6b64f4aec4c8de8c81d450b7c69d59f.png

⑵四台CTD同架比对误差结果

四台CTD同架比对3#CTD误差结果见表3,剖面温度、电导率均方根差结果分别超出仪器最大允许误差0.0021℃、0.0015mS/cm,停层温度、电导率均方根差结果分别超出仪器最大允许误差0.0003℃、0.0004mS/cm,停层深度均方根差结果在仪器最大允许误差范围内;剖面温度、剖面电导率、停层电导率平均差结果分别超出仪器最大允许误差-0.0002℃、-0.0003mS/cm、-0.0001mS/cm,停层深度、温度平均差结果在最大允许误差范围内;剖面和停层温度、电导率测量数据比对相关系数都大于0.99。

表3 四台CTD同架比对3#CTD误差计算结果

6d18f8990032af2a029b3948d38392d9.png

四台CTD同架比对4#CTD误差结果见表4,剖面温度、电导率均方根差结果分别超出仪器最大允许误差0.0015℃、0.0032mS/cm,停层温度、电导率均方根差结果分别超出仪器最大允许误差0.0014℃、0.0034mS/cm,停层深度均方根差结果在仪器最大允许误差范围内;剖面和停层电导率平均差结果分别超出仪器最大允许误差-0.0027mS/cm、-0.0032mS/cm,剖面温度、停层深度平均差结果在最大允许误差范围内;剖面和停层温度、电导率测量数据比对相关系数都大于0.99。

表4 四台CTD同架比对4#CTD误差计算结果

f7727dbf23de6c857f7d1194470423a1.png

对比OST19CTD标称测量精度和误差结果发现:两台CTD的温度、电导率测量数据的均方根差超出OST19最大允许误差范围,温度测量数据平均差接近最大允许误差,电导率测量数据的平均差超出了最大允许误差范围;两台CTD深度测量数据的均方根差和平均差在最大允许误差范围内。

⑶两次试验误差结果对比

对比两台CTD同架比对3#CTD误差结果(表2)和四台CTD同架比对3#CTD误差结果(表3)发现:两次试验测量平均差结果基本无变化,两台CTD同架比对剖面数据均方根差结果小、停层数据均方根差结果大。虽然增加下放CTD数量对测量结果的影响不确定,但标准测量设备数量增加可降低因标准器故障导致海试结果无效的风险,特别是在开展深远海试验时,可考虑增加一台备份标准测量设备。

⒊OST19CTD自比分析

四台CTD同架比对试验中3#CTD与4#CTD测量数据的比对结果见表5,其中均方根差数值是经过误差分离得到的。剖面温度、电导率均方根差结果分别超出仪器允许误差0.0013℃、0.0005mS/cm,停层电导率均方根差结果超出仪器允许误差0.0046mS/cm,停层深度和温度均方根差结果在仪器允许误差范围内;停层电导率平均差结果超出仪器最大允许误差-0.0078mS/cm,剖面温度、电导率和停层深度、温度平均差结果在允许误差范围内;剖面温度、电导率测量数据自比对的相关系数均大于0.97。通过比较3#CTD、4#CTD的误差计算结果与3#CTD、4#CTD比对结果发现:剖面温度、剖面电导率、停层温度的自比对均方根差和平均差水平接近或优于误差计算结果,验证了OST19CTD在实际海洋环境中接近或达到了温度、电导率标称测量精度的水平。

表5 OST19CTD自比对结果

978581ed8db67de2485ba1947f6d69e2.png

⒋OST19CTD海上剖面测量性能评价

《海洋仪器海上试验规范》(HY/T141—2011)试验结果统计分析要求:同种多台仪器在同一环境条件下的同步比测,同一被测量物理量以它们的观测数据之间的均方根差来表示,还建议将比对数据的相关性作为参试仪器测量数据可信度的一种依据。本文在前人研究和规范的基础上,结合CTD海上剖面测量特点,运用层次分析法探索海上试验CTD剖面测量性能的评价方法。

层次分析法是指将一个复杂的多目标决策问题作为一个系统,将目标分解为多个目标或准则,进而分解为多指标(或准则、约束)的若干层次,通过定性指标模糊量化方法算出层次单排序(权数)和总排序,以作为目标(多指标)、多方案优化决策的系统方法。本文将CTD海上剖面测量性能作为总目标,根据CTD海上剖面测量要求和应用特点,按总目标、子目标、方案层直至测量的物理量顺序分解为层次结构,然后分析得到每一层次的各元素对上一层次某元素的优先权重,最后再加权求和的方法计算总目标评分。

CTD海上剖面测量试验主要考核在海洋实际环境中CTD深度、温度、电导率传感器准确测量和响应环境变化的能力,将CTD海上剖面测量性能评价分解为精准度和灵敏度两个目标。在CTD海上比对试验中,剖面温度和电导率数据是在同一深度下给出的,剖面温度和电导率数据的均方根差和平均差大小可反映被测CTD与标准CTD测量值的离散程度和一致性;因同架固定导致被测CTD和标准CTD传感器存在固定的垂直距离偏差,停层测量数据的误差结果不作为精准度的判定依据,将精准度分解为剖面测量均方根差和平均差。停层过程中深度、温度和电导率在较小的范围内变化,停层测量均方根差和相关系数可以表示被测CTD与标准CTD停层测量数据的离散程度和相关性,将灵敏度分解为停层测量均方根差和相关系数。据此建立CTD海上剖面测量性能评价指标体系,如表6所示。

表6 CTD海上剖面测量性能评价指标体系

8d8f6d595aad9018eb547d9273770916.png

根据海洋环境调查中CTD海上测量的经验和特点为目标层和方案层赋予权重。CTD在实际海洋环境中的精准度和灵敏度是CTD海上剖面测量性能评定的两个方面,同等重要,故将精准度和灵敏度的权重均赋值均为0.5;剖面测量误差是压力平均后的误差结果,剖面测量均方根误差和平均差分别可以表示相同环境下被测CTD与标准CTD测量值差值的离散程度和一致性,同等重要,权重赋值均为0.5;停层测量均方根差和相关系数分别可以反映被测CTD与标准CTD灵敏度的波动范围大小和一致性,同等重要,权重赋值均为0.5。剖面测量均方根差和平均差中温度和电导率两个物理量的权重均赋值为0.5;停层测量均方根差、相关系数中深度、温度和电导率3个物理量的权重均赋值为0.333。

根据评分方法,计算得出四台CTD同架比对试验中3#CTD和4#CTD精准度、灵敏度评分分别为0.739、0.954和0.645、0.837;两台CTD海上剖面测量性能评价分值分为0.847、0.741。经评定,本次海上试验中3#CTD剖面测量性能良好、4#CTD剖面测量性能一般。

结论

CTD测量最大允许误差指标在静态实验室相对稳定的环境测试得到的结果,而实际海洋环境是不稳定、不可控的。海上测量性能试验需要在实际的海洋环境中对CTD的测量性能作出科学合理的评定,而且OST19CTD与SBE25PlusCTD允许误差指标在同一量级,若仅按均方根差结果判定海上试验结果,两台OST19CTD海上测量性能均不合格,对CTD海上测量性能未做出合理的评定,也不能体现两台CTD海上测量性能的差异。

本文基于CTD海上剖面测量要求、应用特点和海上试验规范,通过引入相关系数和平均差的数据处理方法,运用层次分析法探讨建立的性能评价方法实现了对被测CTD海上剖面测量性能的评价。与之前均方根差评价方法相比,本文的CTD海上剖面测量性能评价方法具有层次结构的评价指标体系和多指标的数据处理方法,评定结果更客观、全面,为被测CTD的优化提供了参考。本文的探索研究可为考核国产CTD海上测量性能能否满足海环境测量保障要求提供方法支撑,也为声学多普勒海流测量仪、波浪浮标等高精尖海洋环境测量设备的考核提供了经验借鉴。

回复

举报 使用道具

相关帖子

全部回帖
暂无回帖,快来参与回复吧
懒得打字?点击右侧快捷回复 【吾爱海洋论坛发文有奖】
您需要登录后才可以回帖 登录 | 立即注册
孙一震
活跃在2026-4-15
快速回复 返回顶部 返回列表