收藏本站 劰载中...网站公告 | 吾爱海洋论坛交流QQ群:835383472

基于多波束数据的海上风机基础水下地形监测研究

[复制链接]
随着国际社会对保障能源安全、保护生态环境、应对气候变化等问题日益重视,加快开发利用可再生能源已成为世界各国的普遍共识和一致行动。对于广东省而言,在可再生能源中,海上风能资源是最具规模开发潜力的。《广东省海上风电发展规划》中提出“在2020年实现海上风电力争建设投产12GW以上”,同时对海上风电场址布局和项目建设进行了规划,“计划建设海上风电场共23个,装机容量66.85GW”。
海上风电场所处的自然环境比较恶劣,风机基础在波浪、潮流等作用下会受到一定的冲刷。如何掌握风机基础周边的冲刷程度,保证风机运营安全,已引起各海上风电运维单位的广泛关注。目前最常见的方法是对风机基础周边水下地形进行定期的监测,获取不同时期的地形资料,研究不同时期冲刷量的变化和规律。
传统的水下地形监测主要采用水下地形测量与固定断面测量相结合的方法。水下地形测量主要采用水面移动平台搭载单波束的方法进行测量,获取不同时期的水下地形数据。虽然单波束在一定程度上解决了水下地形测量问题,但测量效率和精度有较大的局限性,尤其是对微地形的表达方面已无法满足当今的需求。而多波束测深系统具有高精度、高分辨率、全覆盖、高效率等特点,正日益受到广大海洋测量部门和海道测量部门的重视。国内外许多学者对多波束进行了深入研究,取得了一批显著的成果。饶光勇等研究了多波束测深系统在堤围险段水下地形变化监测中的应用;刘权等研究了多波束系统在水下基坑测量中的应用。同时,基于载体的不同,近几年机载和星载测深系统方面也有不少研究。王鑫等对机载激光LiDAR技术测深进行了研究,该技术主要应用在水深5m以内的浅水地区,大部分处于实验阶段,实际应用较少。何亮等采用多波束联合水下机器人对水下地形进监测,虽然作业效率、精度较高,但是操作难度大,成本高,稳定性较差。
利用多波速测深系统对风机基础进行水下地形监测,目前还少有研究。本文结合工程实例,利用多波束测深系统对广东某海上风电8#风机位周边地形进行定期的水下地形监测,获取了高精度和高密度的水下地形点云数据;通过对点云数据进行数据处理和分析,构建高精度的水下地形数字高程模型DEM;通过数字高程模型叠加分析,计算出不同时期的冲刷量;最后通过三维模型展示不同时期地形的变化,分析引起冲刷的原因,为海上风电安全运行提供了数据支撑。
* k2 c9 @' f1 U! s: J
一、工程应用
⒈项目概况
& t9 y2 K; B3 S( L
广东某海上风电8#风机位于南海海域,中心概略位置:北纬20.425°,东经110.489°,测量范围风机中心500m×500m,面积约0.3km2。场址中心离岸距离约15km,水深4~10m。所在区域海底地貌属于水下浅滩、水下岸坡地貌单位,有部分沙洲,表层底质以粉砂、细沙为主。
周边海域的气象条件:平均风速为3.0m/s;年平均气温为24.5℃;海水温度最高值为30.86℃,最低海水温度值为28.71℃;潮汐为不正规半日混合潮;潮流为不规则全日潮,表现为明显的往复流特征,实测最大流速1.50m/s。
为了监测风机周边地形的变化,我们采用多波束测深系统对8#风机周边地形进行了6次测量,监测频率为每6个月监测一次,期间因地形变化较快,监测频率做了适当的调整。
⒉区域海床稳定性分析
为了分析区域海床稳定性,收集了近十年来附近海域4条断面数据,断面位置图如图1所示。通过分析5条断面处水深的变化判断区域海床的稳定性。
d7545e5bfab7deb4714ade1fb8897376.png

1 断面位置图

5条断面位置水深变化图如图2所示。
b30dddef6eab3ae2d5feb56145b0bffe.png

2 断面位置水深变化图

分析以上数据可以看出8#风机位置所处的海域断面线处于不断调整变化状态,变化趋势是水域南侧深槽逐渐分离,沙向东北部输送,海床变化较大,尤其是浅滩和深槽位置发生了整体性的移动;总体上来看海滩面为冲刷态势,南、北深槽东侧为淤积态势,西侧部分为冲刷,滩槽东、西摆动变化大,有向西推进的趋势。因此开展此海域所处的风机基础水下地形监测是非常有必要的。
⒊数据采集
为了完成此次风机位的水下地形监测任务,本项目采用多波束测深系统、PosMV定姿定位系统、声速剖面仪等设备进行外业的数据采集。所有设备在作业前都通过了设备鉴定,状态稳定,运行状况良好。
测线布置:按照事先布设好的主测线,对测区进行全覆盖式的水深测量,同时保证相邻测线间有不少于20%的重叠度。除了主测线之外布设了检查测线,检测线长度占总长度的10%,多于规范要求的5%。
多波束安装:多波束换能器采用船舷安装,多波束换能器与PosMV定姿定位系统的IMU刚性连接安装于船底水面以下;X轴正方向指向船头,安装底部应当稳固并同换能器发射平面保持空间平行的关系。
多波束校正:在进行多波束测量之前,需要对横摇差(Roll)、纵摇差(Pitch)、艏摇差(Yaw)及船舶动吃水测定等参数进行校正,校正方法按照对应的方法进行。利用软件计算出校正参数直接应用到多波速系统配置文件中,改正系统固定偏差。
数据采集:外业采集数据使用多波束控制软件和数据采集软件。采集的过程中控制好作业船的船速,记录好吃水的变化。
2019年至2020年期间,我们共进行了6次监测。外业数据采集时间如表1所示。

1 外业数据采集时间表

090c5a2fe49803805a7b326ac4d420b6.png
⒋数据处理
多波束数据处理采用CARISHIPS软件,在处理前,检查各传感器的偏移量、系统校准参数等相关数据的准确性。具体操作流程:创建新项目,建立船型文件;声速文件及潮位文件的编辑;数据进行潮位改正、声速改正;编辑水深数据;生成水深曲面;输出数据文件。
将ASCII文件格式的文件转换成1m网格尺寸的DEM数据。根据水深值的不同对DEM数据用不同的颜色进行分层次赋色,采用水下地形渲染图的方式来表现水下地形信息。在统一的坐标系(WGS84)和高程基准中构建的不同时期水下数字地形DEM模型如图3所示。
170feab25ac81453837333d3da6ebcba.png

3 不同时期的水下地形DEM模型

从不同时期的水下地形DEM模型可以看出,风机基础中心往西约60m处有一条南北走向的海底斜坡。随着时间的推移,其位置发生了明显变化,逐步往西移动,最大位移量约90m,同时对斜坡位置高程进行了比较,最大变化约4.5m,风机基础周边的地形出现较严重的淤积现象,这可能对风机基础的安全有一定的影响。
二、冲刷量计算
应用不同时期的DEM模型进行区域体积计算,通过不同模型的叠加运算,计算两者的差异,从而判断所在区域冲淤变化情况。对6次测量的成果进行叠加运算,其结果如表2所示。不同时期DEM叠加运算后的冲淤渲染效果如图4所示。同时对位于风机西面南北走向的海底斜坡进行了分析,其在不同时期的位置如图5所示。
44faba73032539c75a4e8d855dad60cf.png

4 不同时期DEM叠加运算后的冲淤渲染效果

1c4af020ac46451fef4aba5112718fcb.png

5 不同时期海底斜坡位置图

2 不同时期DEM叠加计算结果统计

52aa2bf41d8e455f7d59b50d56defcc1.png
通过表2可以看出,从第一次测量到第六次测量这期间,淤积量达251085.699m3,可见本区域内淤积程度还是比较严重。从不同时期的冲淤渲染效果图和不同时期海底斜坡位置图可以看出,第二次测量与第一次测量期间,在一年的时间内该区域有严重的淤积情况,个别位置淤积厚度达4.6m,海底斜坡位移最大量达62m;第三次测量到第六次测量期间,淤积量有所减少,海底斜坡位置偏移变化较小,说明整个区域内的冲淤情况较稳定,但还是有少量的泥沙不断堆积,这对风机基础的稳定会造成一定的影响,应引起风机运维单位的足够重视。
三、冲刷原因分析
通过对以上资料分析,可以看出风机附近海域局部淤积现象比较严重。局部受到风浪作用,冲刷侵蚀现象比较明显,特别是在台风浪时期会导致海床泥沙剧烈冲刷搬运,使地形短时期内产生较大变化。2019年4月至2020年4月之间影响工程海域的2场台风过程如图6所示,可知1907号“韦帕”台风路径正好经过工程海域,综合分析认为8#风机西侧的大范围淤积很可能与这次台风经过有关。
66cd72012d4e046d75c2a7fc3a436c60.png

61907号“韦帕”台风路径图

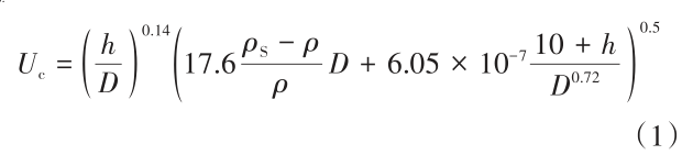
此外,泥沙在潮流和波浪的联合作用和沿岸流作用下运移,这是该海域海床地形局部冲刷和淤积的另一个重要原因。工程区附近海底沉积物主要以细砂、中细砂和粉砂质砂为主,在较强的海域潮流动力下,使得泥沙活动性强。采用武汉水利电力学院泥沙起动公式:
33c27f7925b95dc673f815338a3da452.png
式中:Uc--起动流速(m/s);h--水深(m);D--泥沙中值粒径(m);ρs--泥沙密度(kg/m3);ρ--水体的密度(kg/m3)。
运用泥沙起动公式计算,工程附近0.1~0.3mm粒径的泥沙起动流速为在0.20~0.45m/s。由此可以得知,在一般天气条件下,工程区附近海床泥沙就能起动,然后在潮流的往复作用下产生泥沙输移对海床变化产生影响。同时工程区附近海域属于波浪动力作用较强的海域,在风浪和潮流共同的作用下,海底泥沙物质将沿岸进行运移,导致出现局部的冲刷和淤积。
四、结论
为获取高精度的水下地形DEM模型数据,本文采用了多波束测深系统对风机基础周边地形进行了6次监测,通过对高精度的DEM模型进行叠加运算,计算了不同时期的冲刷量,分析了冲刷的原因。本文研究表明:
⑴基于高精度多波束海底地形数据,建立通用的数字高程模型,可以更直观地表现和解释风机周边水下地形,精确地反映水下地形的细节特征。基于DEM的冲淤分析,进一步提高了分析的精度。通过周期监测,对海底斜坡位置的演变进行了定量表达,对后续采取工程措施提供了决策支持。
⑵通过对冲刷原因分析,得出导致本次淤积变化的主要原因是强台风影响到风电场海域时,海床和风机局部区域通常会发生较大的整体性变化。但在正常海况条件下,海底基本处于稳定状态,没有发生较大的冲淤变化过程。因此在后续的日常运维中,建议进一步加强风机局部范围的海底地形监测,为风电场的正常运营提供安全保障。
随着三维点云数据库和可视化技术的不断发展,利用三维点云数据库,通过对比研究可以提供水下地形的冲刷淤积的变化,利用三维可视化专业软件可以真实地反映水下三维地形环境,实现海底地形三维可视化成图。
1 ^9 J  p% q' _6 u) M' X
回复

举报 使用道具

相关帖子

全部回帖
暂无回帖,快来参与回复吧
懒得打字?点击右侧快捷回复 【吾爱海洋论坛发文有奖】
您需要登录后才可以回帖 登录 | 立即注册
魏辉兵
活跃在2026-4-15
快速回复 返回顶部 返回列表