收藏本站 劰载中...网站公告 | 吾爱海洋论坛交流QQ群:835383472

[数据处理] WRF模式后处理总结

[复制链接]
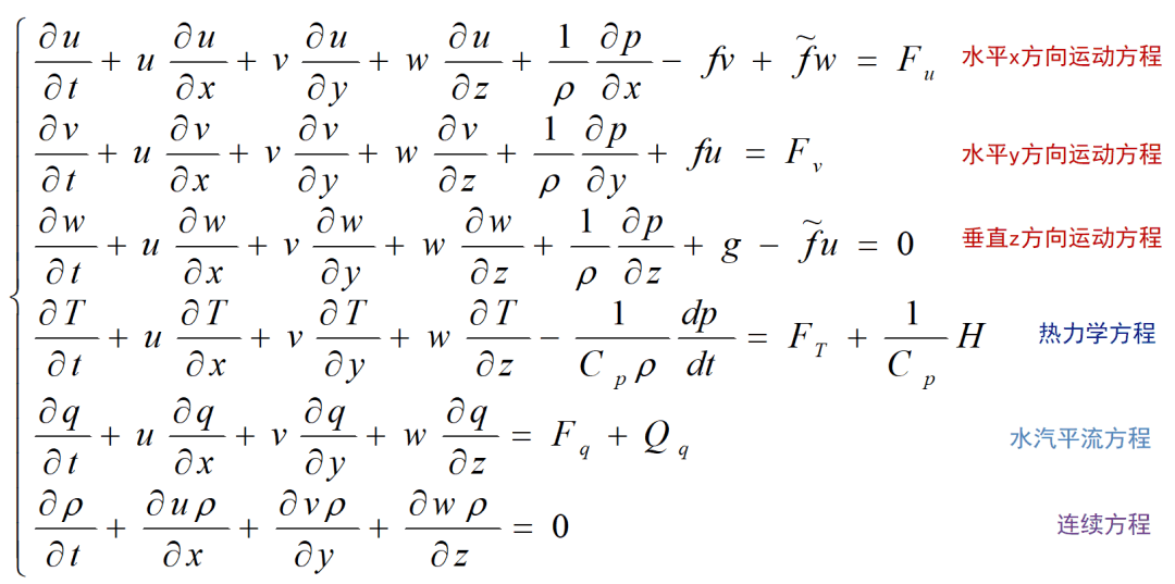
WRF模式是目前大气研究和业务预报应用最广泛的中尺度区域模式,适用于从数十米到数千公里的各种气象应用。应用模式模拟出结果,只是第一步,后续更重要的是将其加工成各种各样的产品,便于用户使用,则需要我们掌握模式后处理的技能。
* T& Z- C4 ]/ G  o' d一 模式后处理) h9 B& v# K7 z6 x5 b% s
模式后处理常涉及到以下几点:
! E+ v( E* I' c

7 b. F: l/ O8 R7 f# o* ^4 v(1)水平网格WRF 模式使用 Arakawa C 网格,一个 m×n 的矩阵中,共有 :
  • M中心质量坐标:m×n
  • U跳点坐标:(m+1)×n
  • V跳点坐标:m×(n+1)
    9 e  m# b- H+ V% T  _2 U5 @# ?4 }

    & N* @- {& P% X: y5 T4 V
809d191a0f8cf0620b1fe30d17adc0d4.png

* `1 i$ t7 @5 {+ l% P

    2 T) o6 w- e1 }6 O4 Q) O9 J' z. p- S  S* ]
    # {$ E! _9 _" R) u3 v$ \
    % o! K1 [% P0 `! Z
    wrfout文件维度信息
C网格具有比较好的频散性和守恒性,高分辨率下优势更明显。但是变量在不同位置,给后处理带来了一些不便,一般使用时,将U,V位置的变量平均到M点进行使用

    / a" F7 N( c3 K: L$ N  F4 t% {/ S( {4 W, i* T7 U

    8 w) m& g0 G, Z. O; s
    6 s( m- v. k2 i9 @1 [; J9 P b895c6ae34a8a90d6a06640da433ed52.png
    ' \/ N9 @+ S  S+ ], A% ?
    6 h5 E6 ?- X7 w5 O- a1 Z% e

    / Z0 k1 G: z( q& MC网格示意图
         
) ]! r. s6 ^! Y: d
: b' T; R) }; m0 z) h7 C. O# r
9b900f171f467830750088dd93e3e5e9.png
9ac9d35e45e366207ec8f67505557237.png
6cd94da9e7c45b8240bb6d45772f738d.png
回复

举报 使用道具

相关帖子

全部回帖
暂无回帖,快来参与回复吧
懒得打字?点击右侧快捷回复 【吾爱海洋论坛发文有奖】
您需要登录后才可以回帖 登录 | 立即注册
文星雨
活跃在2026-4-15
快速回复 返回顶部 返回列表